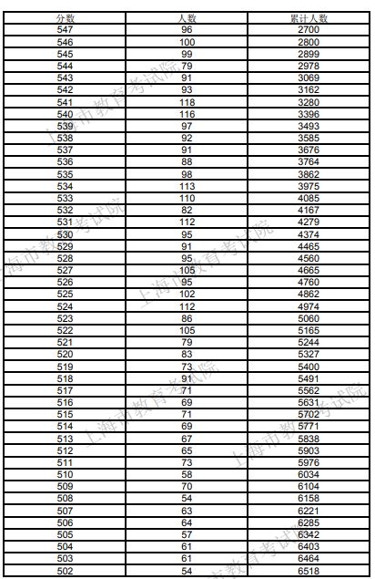
刚刚,2020年综合评价批次各院校线上入围考生成绩分布表公布。
市教育考试院特别提醒:
1.下列考生成绩分布表仅供已获得综合评价批次各招生院校入围资格且高考成绩达到“特殊类型控制分数线”的考生参考。
2.综合评价批次志愿可填报4个平行的院校专业组志愿,并按1:1.5的投档比例由高分到低分向招生院校投档。建议考生关注各校招生计划并综合考虑自身情况合理填报志愿。
3.考生可于7月30日上午10:00—8月1日下午2:00填报综合评价批次志愿(其中本市应届高中毕业生由学籍所在中学统一安排,非本市应届高中毕业生由考生报名所在区招考机构统一安排)。
4.考生应查阅相关院校的“2020年综合评价录取改革试点招生简章”,知晓录取原则。
5.各院校成绩分布情况如下:
编辑:储舒婷
责任编辑:姜澎
*文汇独家稿件,转载请注明出处。