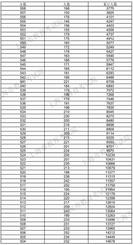
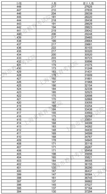
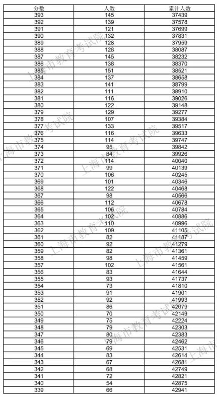
刚刚,2020沪考生高考成绩分布表新鲜出炉!
注:2020年选考(思想政治、历史、地理、物理、化学、生命科学)科目考生高考成绩分布表(考生须登录“2020年高考志愿辅助填报系统”查询)。
编辑:储舒婷责任编辑:姜澎
*文汇独家稿件,转载请注明出处。