点击关注文汇APP、微博、微信
文汇app
文汇公众号
文汇报微博
首页
热点
时政
文化
影视
城事
教育
健康
环球
笔会
国内
科技
体育
智库
讲堂
专题
活动
视频
读书周报
视觉
文汇学人
文汇报
解放日报
新民晚报
上海日报
新闻晨报
东方早报
申江服务导报
i时代报
文学报
上海法治报
社区晨报
新民周刊
教育
>
教育
相关文章
读书 | 新书掠影
读书 | 世外桃源,一蟹浮生
读书 | 一位精神的飞行者 ——读《我是...
读书 | 为续写《茶经》,海外学人卷出新高度
金门登陆战,解放军与国民党的兵力对比
推荐文章
沪2023年本科普通批次平行志愿院校专业组...
沪2023年本科普通批次平行志愿院校Q组投...
这个专业分数线665.5分!2023年上海中招...
未来是考研还是就业? 暑假是做规划的好...
定格“老小孩”的微笑,95后博士团暑期返...
“天坑专业”名单年年更新,大学专业分流...
12国青少年齐聚申城,2023上海国际友好城...
登西沙群岛、讲红色故事、学非遗技艺……...
教育部公安部发布预警提示:防范以校外培...
道德与法治学科和英语学科巧妙结合,这所...
排行榜
即使抽到人生的烂牌,也可以打得精彩!25...
非洲小哥靠从中国买“垃圾”致富:徒手用...
董卿缺席春晚原因曝光,背后真相令人落泪...
中国天才少年“神操作”解决困扰全世界百...
董卿3次下跪采访,却说“我跪着,是因为...
正月初五,为什么是“破五”?这一天千万...
6个孩子中5个是博士,其中两人是宾大、哈...
阅兵车牌为1949,这个细节,看哭了无数中...
中国核事业最神秘的女子,504厂唯一女性...
50岁失业、96岁失恋、102岁拿下“终身成...
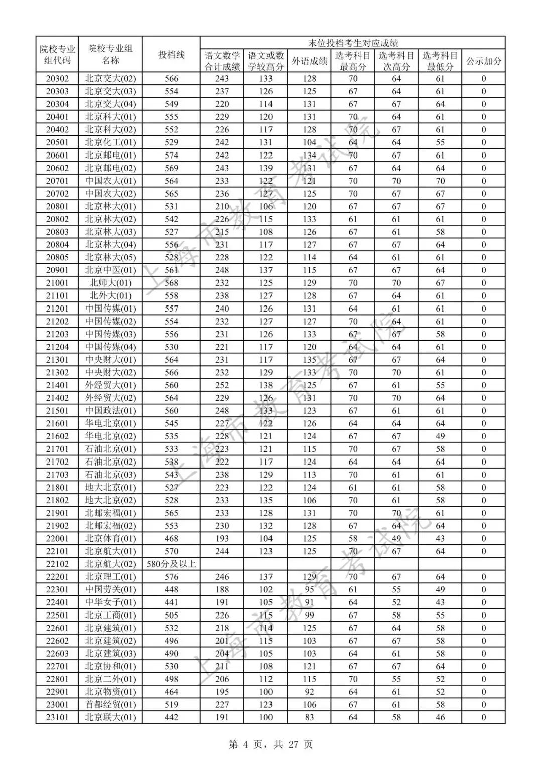
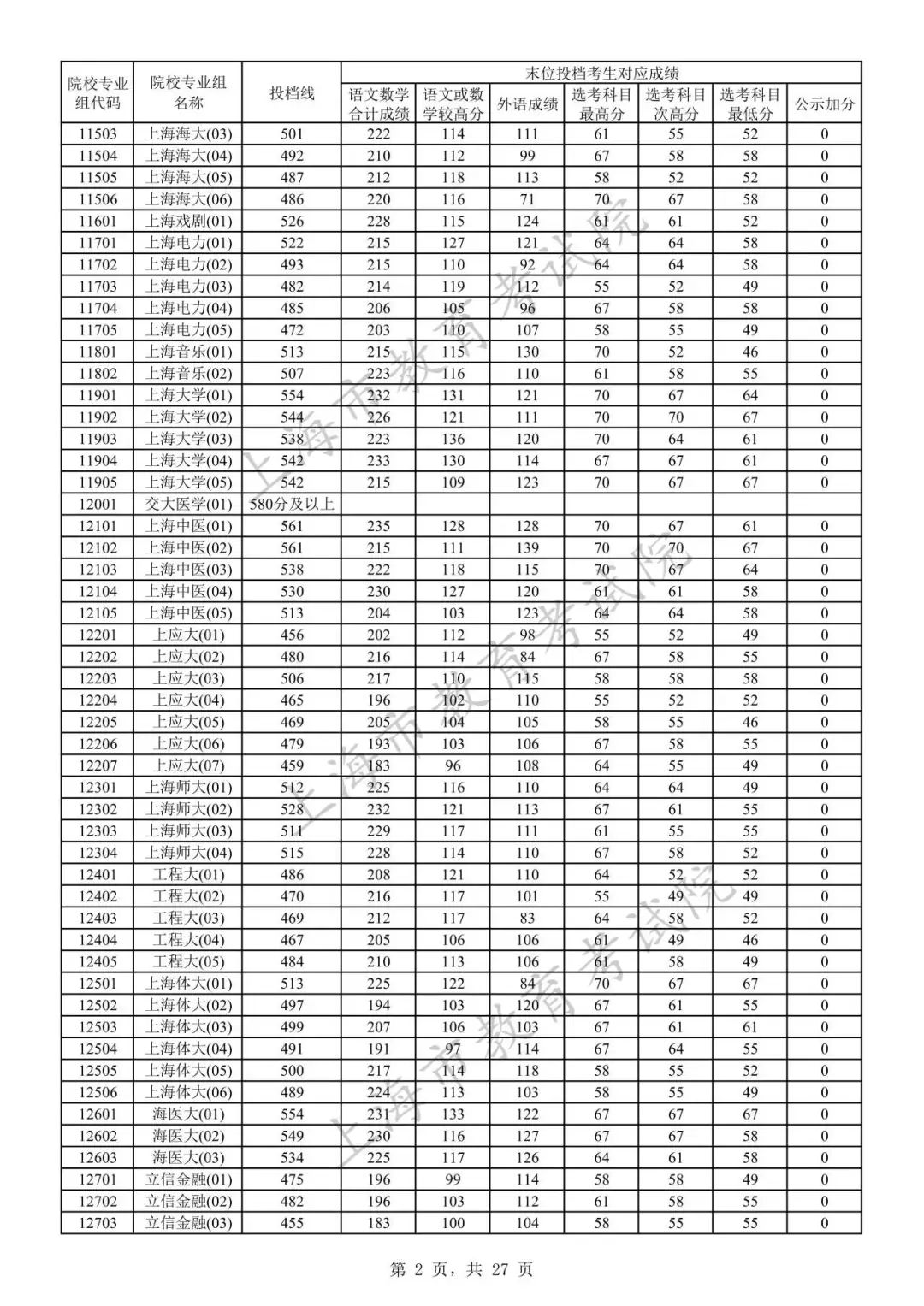
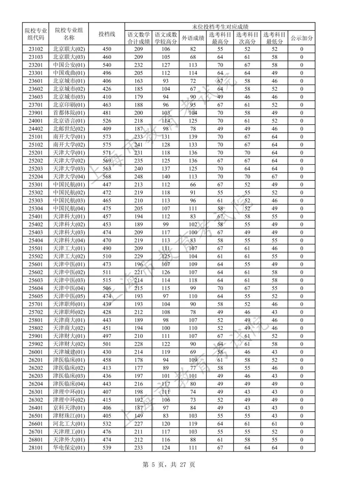
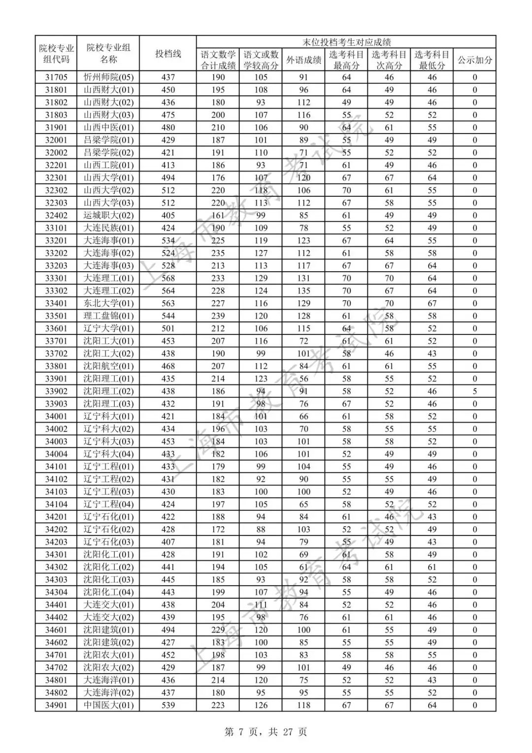
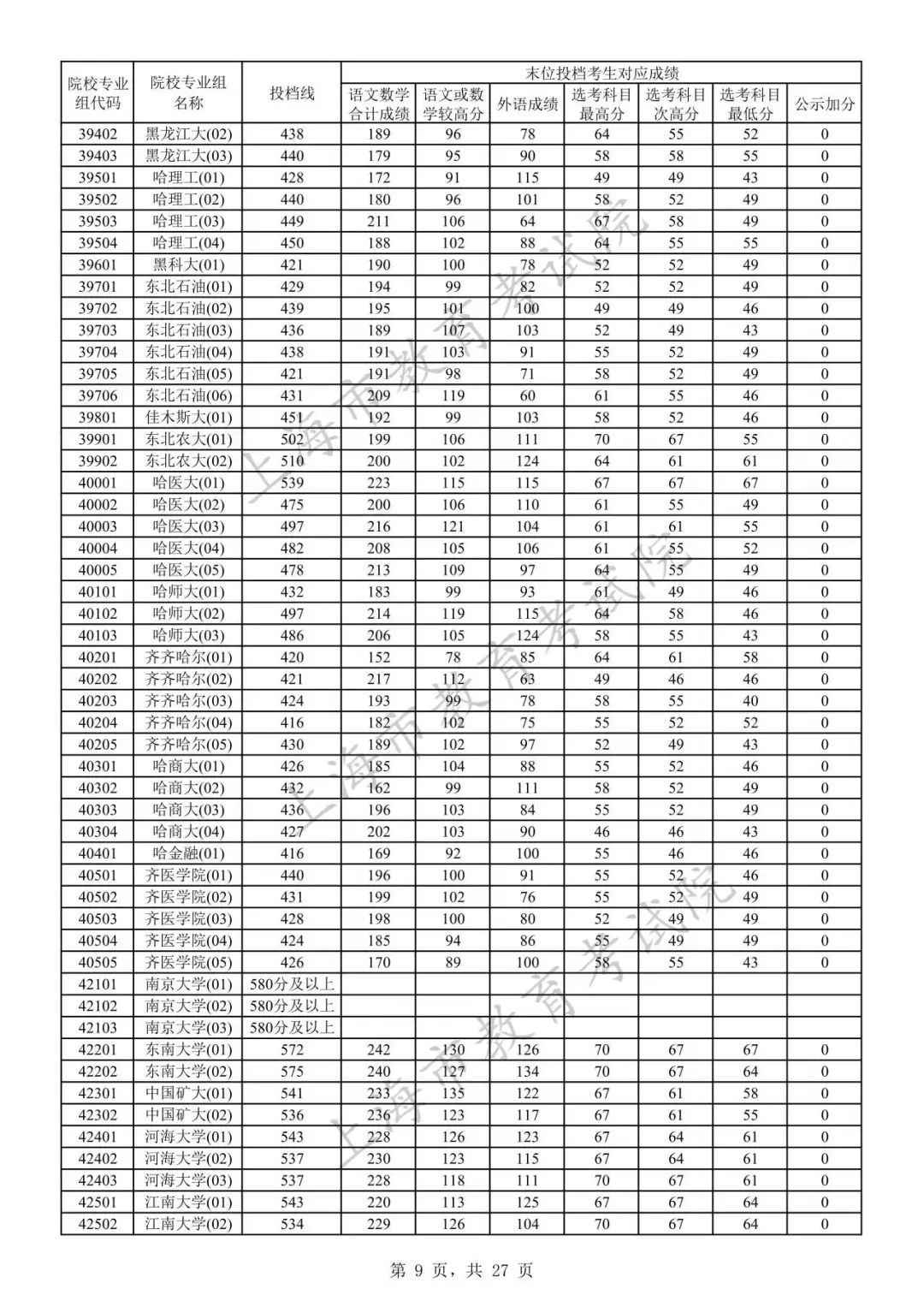
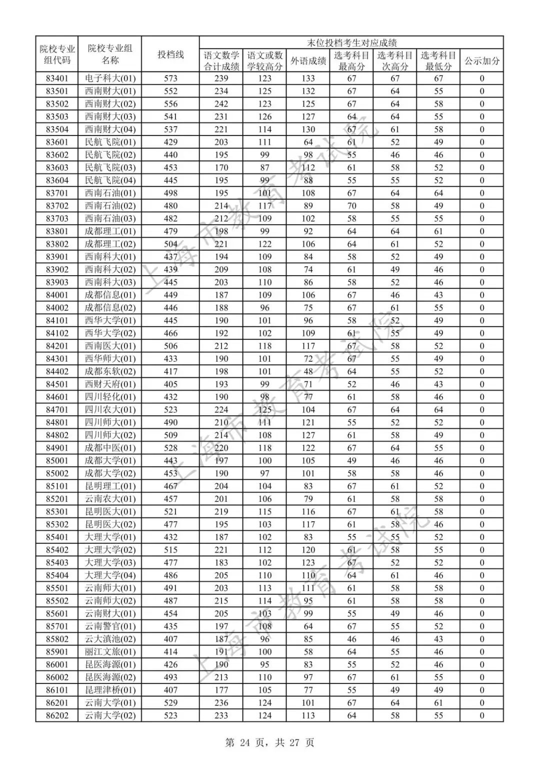
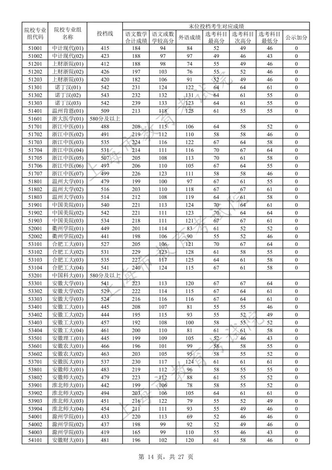
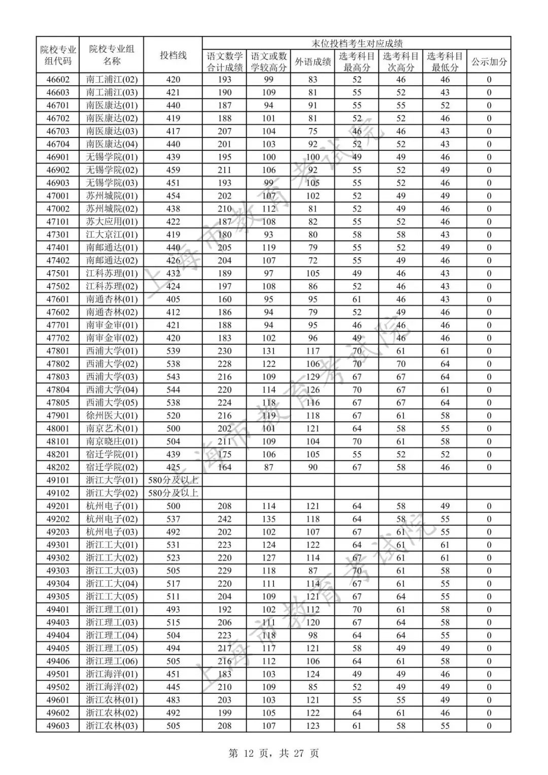
沪2023年本科普通批次平行志愿院校专业组投档分数线公布
日期:2023年07月21日 20:03:47 作者:储舒婷
2023年上海市普通高校招生本科普通批次平行志愿院校专业组投档分数线公布,详见↓
作者:储舒婷
编辑:顾军
责任编辑:樊丽萍
*文汇独家稿件,转载请注明出处。
分享到:
文汇网 ● 版权所有 All Rights Reserved
沪ICP备18006598号-1
Copyright(c)2004
沪公网安备 31010602000205号