点击关注文汇APP、微博、微信
app
文汇app
公众号
文汇公众号
官方微博
文汇报微博
相关文章
推荐文章
排行榜
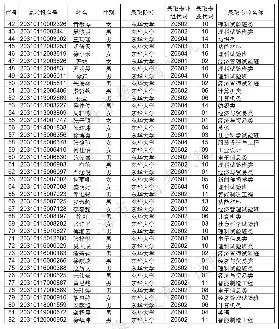
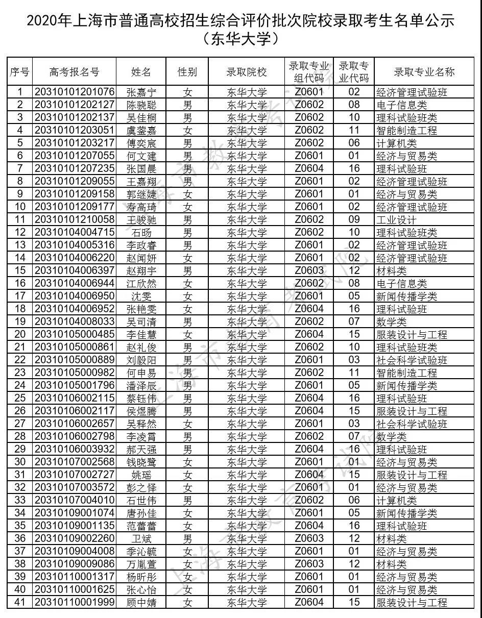
11所高校公示!上海今年综合评价批次院校录取考生名单公布
日期:2020年08月06日 09:14:47 作者:储舒婷