今天,上海16区陆续公布中招零志愿、名额分配志愿录取分数线。
黄浦区
网址:
https://zhaoban.hpe.cn/info/iList.jsp?cat_id=20928
徐汇区
网址:
http://zsks.xuhui.gov.cn/egov/


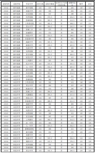
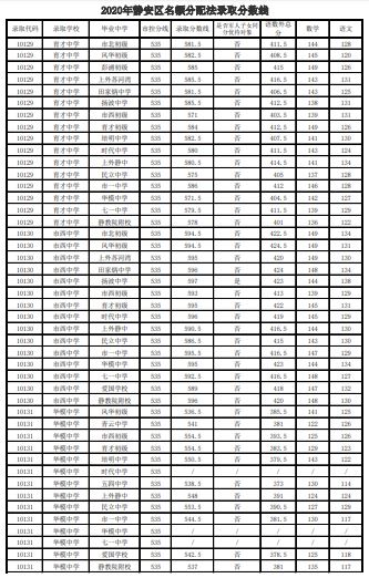
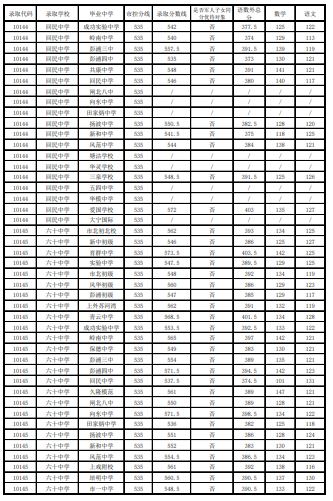
静安区
网址:
http://www.jingan.gov.cn/xwzx/002016/002016026/002016026002/002016026002007/002016026002007002/002016026002007002003/zwgZiLanMuklist2.html
长宁区
网址:
http://kszx.chneic.sh.cn/IndexAction.action
普陀区
网址:
http://www.kszx.pte.sh.cn/c/73d59f3c84ef4e8c98d7a8de3d9b0f2f/default.html
虹口区
网址:
http://www.shhk.gov.cn/hkjy/zfxx/001007/
杨浦区
网址:
http://www.shyp.gov.cn/shypq/yqyw-wb-jyjzl-ypzs-gzjdzs/index.html
2020年杨浦区零志愿录取分数线

2020年杨浦区各初中学校名额分配录取分数线

闵行区
网址:
http://www.mhedu.sh.cn/info/iList.jsp?node_id=GKxxgk&cat_id=12776
嘉定区
网址:
http://www.jiading.gov.cn/jiaoyu/publicity/fdzdgknr/jyyw/zsks/gzjysjy?WebShieldDRSessionVerify=EUte6b44uQPRqXlYt5G0
宝山区
网址:
https://www.bsedu.org.cn/baoshan/zszl/index.jhtml
2020年宝山区“零志愿”投档分数线
2020年行知中学名额分配投档分数线
2020年吴淞中学名额分配投档分数线
2020年上大附中名额分配投档分数线
浦东新区
网址:
http://www.pudong.gov.cn/shpd/department/019020/019020004/019020004004/?BxvOkVVfO8TC=1595656063686
松江区
网址:
http://www.zsb.sjedu.cn/gzjdzs
金山区
网址:
http://zsks.jsedu.sh.cn/
青浦区
网址:
https://www.shqp.gov.cn/edu/
奉贤区
网址:
https://zsks.shfxjy.cn/
崇明区
网址:
http://www.shcm.gov.cn/cmmh_web/html/shcm/shcm_xxgk_zsxx/List/list_0.htm
编辑:储舒婷
责任编辑:顾军
来源:综合自各区教育局