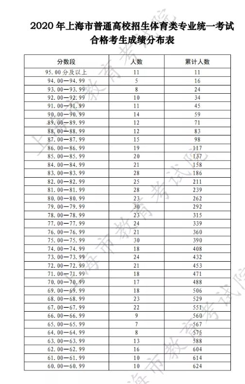
2020年上海市普通高校招生体育类专业统考成绩今起可查,合格线为:四门专业统考成绩总分不低于60.00分。
考生成绩分布如下:
点击查看➯体育统考合格名单
考生可于6月12日(星期五)10:00至6月19日(星期五)16:00,登录上海市教育考试院“上海招考热线”网站(www.shmeea.edu.cn),点击进入首页“成绩查询”,进行专业统考成绩查询。体育类专业统一考试成绩通知单将于6月13日(星期六)起通过邮政特快专递寄送给考生。
考生接到成绩通知单后,若对本人的成绩有疑问,可于6月14日(星期日)9:00—16:00凭考生报名号或体育类专业统一考试准考证号和身份证号码后六位数字(不含英文字母)登录上海市教育考试院“上海招考热线”网站(www.shmeea.edu.cn),点击进入首页“成绩查询”,提交成绩复核申请。成绩复核仅限复核是否存在漏评、加分错、登分错情况,不重新评分。6 月 21 日(星期日)10:00至6月26日(星期五)15:00,考生可登录“上海招考热线”网站,点击进入首页“成绩查询”,查看成绩复核结果。
作者:储舒婷
编辑:顾军
责任编辑:唐闻佳
*文汇独家稿件,转载请注明出处。